Térképvetületek

(Vetületi egyenletek, vetületi torzulások, fokhálózati és domborzati képek)


A honlapot szerkeszti:
Rakk Gyula (térképész)
E-mail a szerkesztőnek: rakkgyu@hotmail.com

A vetületi egyenletek és a vetületi torzulások képletei
Györffy János: Vetülettan 1-2. (Jegyzet a Térképész mesterszak számára)
című oktatási anyagból származnak: Koordináták átszámítása és fokhálózati képek rajzolása: Free Pascal
Grafika: CorelDRAW

A "Dombozati változatok" a következő alaptérkép felhasználásával készültek (9 MB):
http://www.ngdc.noaa.gov/mgg/image/color_etopo1_ice_low.jpg Utolsó módosítás: 2025. szeptember 28.

Ez az 1280 x 720 képpontos felbontásra optimalizált változat

További változatok:


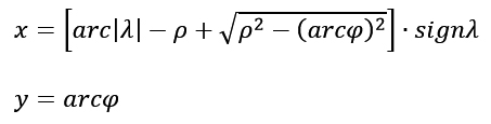
Valódi síkvetületek (Azimutális vetületek)

Az általános vetületi egyenletek:

Az általános vetületi egyenletek
transzverzális és ferdetengelyű elhelyezés esetén:

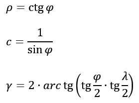
A vetületi torzulások

A parallelkör menti hossztorzulás:

A meridián menti hossztorzulás:

A területtorzulási (területi) modulus:




PERSPEKTÍV SÍKVETÜLETEK

Az általános sugárfüggvény:

Az általános vetületi egyenletek:

A vetületi (fokhálózat menti) hossztorzulások

A parallelkör menti hossztorzulás:

A meridián menti hossztorzulás:

A sugárfüggvény
transzverzális és ferdetengelyű elhelyezés esetén:

A vetületi egyenletek
transzverzális elhelyezés esetén:

A vetületi egyenletek
ferdetengelyű elhelyezés esetén:




Szögtartó perspektív síkvetület

Sztereografikus síkvetület

Szögtartó
Körtartó
Perspektív

A sugárfüggvény:

A sugárfüggvény
transzverzális és ferdetengelyű elhelyezés esetén:

A vetületi torzulások

A parallelkör menti hossztorzulás:

A meridián menti hossztorzulás:

A területtorzulási (területi) modulus:




Általános torzulású perspektív síkvetületek

Gnomonikus (gömbközépponti, gnomikus) síkvetület

Általános torzulású
Az ortodrómák (gömbi főkörök) képei egyenes vonalak
Perspektív

A sugárfüggvény:

A sugárfüggvény
transzverzális és ferdetengelyű elhelyezés esetén:

A vetületi torzulások

A parallelkör menti hossztorzulás:

A meridián menti hossztorzulás:

A területtorzulási (területi) modulus:

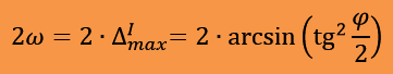
A maximális iránytorzulás:




Ortografikus síkvetület

Általános torzulású
Parallelkörökben / segédparallelkörökben hossztartó
Perspektív

A sugárfüggvény:

A sugárfüggvény
transzverzális és ferdetengelyű elhelyezés esetén:

A vetületi torzulások

A parallelkör menti hossztorzulás:

A meridián menti hossztorzulás:

A területtorzulási (területi) modulus:

A maximális iránytorzulás:




NEM PERSPEKTÍV SÍKVETÜLETEK

Általános torzulású valódi síkvetület

Postel-féle (ekvidisztáns, egyenközű) síkvetület

Általános torzulású
Meridiánokban / segédmeridiánokban hossztartó

A sugárfüggvény:

A sugárfüggvény
transzverzális és ferdetengelyű elhelyezés esetén:

A vetületi torzulások

A parallelkör menti hossztorzulás:

A meridián menti hossztorzulás:

A területtorzulási (területi) modulus:

A maximális iránytorzulás:




Területtartó valódi síkvetület

Lambert-féle síkvetület

Területtartó

A sugárfüggvény:

A sugárfüggvény
transzverzális és ferdetengelyű elhelyezés esetén:

A vetületi torzulások

A parallelkör menti hossztorzulás:

A meridián menti hossztorzulás:

A területtorzulási (területi) modulus:

A maximális iránytorzulás:




Valódi hengervetületek

Az általános vetületi egyenletek:

Az általános vetületi egyenletek
transzverzális és ferdetengelyű elhelyezés esetén:

A vetületi torzulások

A parallelkör menti hossztorzulás:

A meridián menti hossztorzulás:

A területtorzulási (területi) modulus:

A maximális szögtorzulás:




Általános torzulású valódi hengervetületek

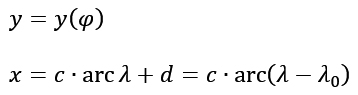
Négyzetes hengervetület ("Plate carrée")

Általános torzulású
Meridiánokban és Egyenlítőben hossztartó

A vetületi egyenletek:

A vetületi torzulások

A parallelkör menti hossztorzulás:

A meridián menti hossztorzulás:

A területtorzulási (területi) modulus:

A maximális szögtorzulás:




Cassini (Cassini-Soldner) vetület

Általános torzulású
Segédmeridiánokban és segédgyenlítőben hossztartó
Transzverzális Négyzetes hengervetület
- A földgömbök alapja: 30 fokos gömbkétszögek -
Ellipszoid alapfelületen: Cassini-Soldner vetület
- Az Osztrák-Magyar Monarchia II. katonai felmérésének alapja -

A vetületi egyenletek:


Marinus-féle ("Redukált") hengervetület

Általános torzulású
Meridiánokban és két parallelkörben hossztartó

A vetületi egyenletek:

A vetületi torzulások

A parallelkör menti hossztorzulás:

A meridián menti hossztorzulás:

A területtorzulási (területi) modulus:

A maximális szögtorzulás:




Szögtartó valódi hengervetületek

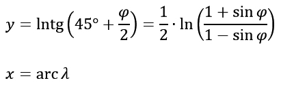
Mercator vetület

Szögtartó
Egyenlítőben hossztartó
A loxodrómák képei egyenes vonalak

A vetületi egyenletek:

A vetületi torzulások

A parallelkör és a meridián menti hossztorzulás:

A területtorzulási (területi) modulus:




Transzverzális Mercator vetület

Szögtartó
Segédegyenlítőben hossztartó
A loxodrómák képei egyenes vonalak
Ellipszoid alapfelületen:
a Gauss-Krüger (GK) és az Universal Transverse Mercator (UTM)
vetületi rendszerek alapja
- 15 fokos gömbkétszögek -

A vetületi egyenletek:


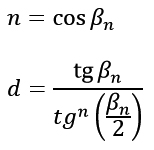
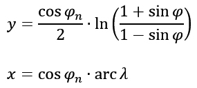
"Redukált" szögtartó valódi hengervetület

Szögtartó
Két parallelkörben hossztartó

A vetületi egyenletek:




Területtartó valódi hengervetületek

Lambert-féle hengervetület

Területtartó
Egyenlítőben hossztartó

A vetületi egyenletek:


Behrmann-féle hengervetület

Területtartó
Két parallelkörben hossztartó

A vetületi egyenletek:


Peters-féle hengervetület

Területtartó
Két parallelkörben hossztartó

A vetületi egyenletek:


Valódi kúpvetületek

Az általános vetületi egyenletek:




Általános torzulású valódi kúpvetületek

Meridiánokban és egy parallelkörben hossztartó valódi kúpvetület

Általános torzulású
Meridiánokban és egy parallelkörben hossztartó
Póluspontos

A sugárfüggvény és a sugárhajlás:


Ptolemaiosz I. vetülete

Általános torzulású
Meridiánokban és egy parallelkörben hossztartó
Pólusvonalas

A sugárfüggvény és a sugárhajlás:


De l'Isle vetülete

Általános torzulású
Meridiánokban és két parallelkörben hossztartó
Pólusvonalas

A sugárfüggvény és a sugárhajlás:


Szögtartó valódi kúpvetületek

A sugárfüggvény:

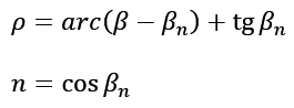
Egy parallelkörben hossztartó és szögtartó valódi kúpvetület

Szögtartó
Egy parallelkörben hossztartó
Póluspontos

A sugárhajlás és a hasonlósági tényező (konstans):


Lambert-Gauss-féle kúpvetület

Szögtartó
Két parallelkörben hossztartó
Póluspontos

A sugárhajlás és a hasonlósági tényező (konstans):


Területtartó valódi kúpvetületek

Lambert-féle kúpvetület

Területtartó
Egy parallelkörben hossztartó
Póluspontos

A sugárhajlás és a sugárfüggvény:


Egy parallelkörben hossztartó és területtartó valódi kúpvetület

Területtartó
Egy parallelkörben hossztartó
Pólusvonalas

A sugárhajlás és a sugárfüggvény:


Albers-féle kúpvetület

Területtartó
Két parallelkörben hossztartó
Pólusvonalas

A sugárhajlás és a sugárfüggvény:


Képzetes síkvetületek

Az általános vetületi egyenletek:

A Ginzburg-féle alternatív képletek:




Ginzburg-féle képzetes síkvetület (egy szimmetriatengellyel)

Általános torzulású
Középmeridiánban hossztartó

A szimmetriatengelyek száma:


Ginzburg-féle képzetes síkvetület (két szimmetriatengellyel)

Általános torzulású
Középmeridiánban hossztartó

A szimmetriatengelyek száma:


Képzetes hengervetületek

Szinuszíves képzetes hengervetületek

Mercator-Sanson- (Sanson-Flamsteed-) féle képzetes hengervetület

Területtartó
Középmeridiánban és parallelkörökben hossztartó

A vetületi egyenletek:


Kavrajszkij I. vetülete

Területtartó
Ekvidisztáns parallelkörök

A vetületi egyenletek:


Eckert V. vetülete

Általános torzulású
Ekvidisztáns középmeridián és parallelkörök

A vetületi egyenletek:


Eckert VI. vetülete

Területtartó
Pólusvonalas

A vetületi egyenletek:


Ellipszisíves képzetes hengervetületek

Apianus II. vetülete

Általános torzulású
Középmeridiánban és Egyenlítőben hossztartó
Ekvidisztáns parallelkörök

A vetületi egyenletek:


Mollweide vetülete

Területtartó
Két parallelkörben hossztartó

A vetületi egyenletek:


Bartholomew-féle (Atlantisz) vetület

Területtartó
Két segédparallelkörben hossztartó
Transzverzális Mollweide vetület

A vetületi egyenletek:


Eckert III. vetülete

Általános torzulású
Ekvidisztáns középmeridián és parallelkörök

A vetületi egyenletek:


Eckert IV. vetülete

Területtartó

A vetületi egyenletek:


Kavrajszkij II. vetülete

Általános torzulású
Középmeridiánban hossztartó
Ekvidisztáns parallelkörök

A vetületi egyenletek:


Köríves képzetes hengervetületek

Apianus I. vetülete

Általános torzulású
Középmeridiánban és Egyenlítőben hossztartó
Póluspontos

A vetületi egyenletek:


Ortelius vetülete

Általános torzulású
Középmeridiánban és Egyenlítőben hossztartó
Pólusvonalas

A vetületi egyenletek:


Összetett képzetes hengervetületek

Goode-féle vetület

Területtartó
Két parallelkörben hossztartó

A vetületi egyenletek:


Érdi-Krausz-féle vetület

Területtartó

A vetületi egyenletek:


Baranyi II. vetülete

Általános torzulású
Egyenlítőben hossztartó
Ekvidisztáns parallelkörök

A vetületi egyenletek:


Baranyi IV. vetülete

Általános torzulású

A vetületi egyenletek:


Osztott Baranyi vetület (Baranyi IV. vetületének osztott változata)

Általános torzulású


Robinson vetülete

Általános torzulású
Ekvidisztáns parallelkörök
Pólusvonalas

A vetületi egyenletek:


Egyenes meridiánképű képzetes hengervetületek

Donis vetülete

Általános torzulású
Középmeridiánban és Egyenlítőben / Két parallelkörben hossztartó
Ekvidisztáns parallelkörök
Póluspontos

A vetületi egyenletek:


Collignon vetülete

Területtartó
Egyenlítőben / Két parallelkörben hossztartó
Ekvidisztáns parallelkörök
Póluspontos

A vetületi egyenletek:


Eckert I. vetülete

Általános torzulású
Középmeridiánban és Egyenlítőben hossztartó
Ekvidisztáns parallelkörök

A vetületi egyenletek:


Eckert II. vetülete

Területtartó
Ekvidisztáns parallelkörök

A vetületi egyenletek:


Egyéb képzetes hengervetületek

Loximutális vetület

Általános torzulású
Középmeridiánban és Egyenlítőben / Egy parallelkörben hossztartó
Ekvidisztáns parallelkörök
A loxodrómák képei egyenes vonalak

A vetületi egyenletek:

Egyenlítőben hossztartó változat


Egy parallelkörben hossztartó változat


Képzetes kúpvetületek

Az általános vetületi egyenletek:




Igazi képzetes kúpvetületek

Bonne vetülete

Területtartó
Középmeridiánban és parallelkörökben hossztartó

A sugárfüggvény és a rádiuszvektor szöge:


Werner-féle "cardioid" (szív alakú, Stab (Stabius) -féle) vetület

Területtartó
Középmeridiánban és parallelkörökben hossztartó

A sugárfüggvény és a rádiuszvektor szöge:


Polikónikus vetületek

A sugárfüggvény és a "c" távolság általános egyenlete:

Közönséges (Egyszerű; Amerikai) polikónikus vetület

Általános torzulású
Parallelkörökben hossztartó
Ekvidisztáns középmeridián

A "c" távolság és a rádiuszvektor szöge:


Ortogonális polikónikus vetület

Általános torzulású
Határhelyzetű Egyenlítőben hossztartó

A "c" távolság és a rádiuszvektor szöge:


Területtartó polikónikus vetület

Területtartó
Középmeridiánban hossztartó

A "c" távolság:

Területtartó és középmeridiánban hossztartó változat

A "d" értéke és a rádiuszvektor szöge:


Területtartó változat

Területtartó

A "d" értéke és a rádiuszvektor szöge:


Szögtartó polikónikus vetület

Szögtartó

A sugárfüggvény, "c" távolság és a rádiuszvektor szöge:


Pszeudopolikónikus vetületek

Az általános feltétel a sugárfüggvényre:

Lagrange vetülete

Szögtartó

A vetületi egyenletek:

1. változat

A vetületre jellemző konstans értéke:


2. változat

A vetületre jellemző konstans értéke:


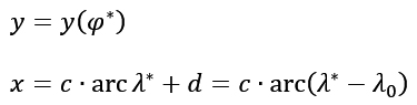
Van der Grinten I. vetülete

Általános torzulású
Egyenlítőben hossztartó

A segédegyenletek:

A vetületi egyenletek:


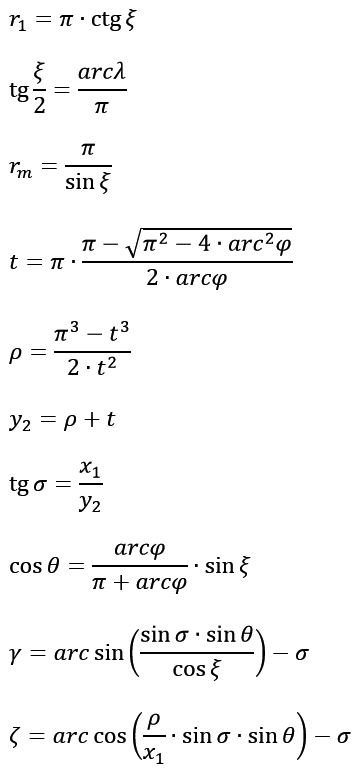
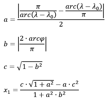
Van der Grinten II. vetülete

Általános torzulású
Ortogonális fokhálózat

A segédegyenletek:

A vetületi egyenletek:


Egyéb képzetes vetületek

Aitoff vetülete

Általános torzulású
Középmeridiánban és Egyenlítőben hossztartó

A vetületi egyenletek:


Hammer vetülete

Területtartó

A vetületi egyenletek:


Pécsi Albert vetülete (a "termelés térképvetülete")

Területtartó
Ferdetengelyű Hammer-féle vetület

A vetületi egyenletek:


Bartholomew-féle ("Nordic") vetület

Területtartó
Ferdetengelyű Hammer-féle vetület

A vetületi egyenletek:


Winkel vetülete ("Tripel" vetület)

Általános torzulású
Középmeridiánban és két parallelkörben hossztartó
Ekvidisztáns Egyenlítő
Pólusvonalas

A vetületi egyenletek:


Littrow vetülete

Szögtartó

A vetületi egyenletek:


© Rakk Gyula, 2013. - Minden jog fenntartva!